Tel:+86 21 50272979
E-mail:market@seebio.cn
Pioneer of Core Raw Materials for Functional Food Ingredients and Healthcare Supplements in China.
  • 2023-11-23
  • 1063

Advantages and Applications of Rhamnolipids [4348-76-9]

Alternative names: Rhamnolipid Glucoside, Rhamnolipid Biosurfactant
CAS: 4348-76-9
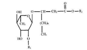
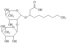
Monomeric Rhamnolipid: Chemical formula C26H48O9, molecular weight 504.65
Dimeric Rhamnolipid: Chemical formula C32H58O13, molecular weight 642.79

Solubility is pH-dependent, generally exhibiting good solubility under neutral or alkaline conditions.



Rhamnolipid is an anionic biosurfactant produced by Pseudomonas aeruginosa fermentation. It possesses excellent chemical and biological characteristics, with both hydrophilic and lipophilic properties. This biosurfactant can reduce surface tension in water and is employed as a wetting agent, emulsifier, and foaming agent. It can be used under extreme conditions of temperature, pH, and salinity, is non-toxic, and biodegradable.


Monomeric Rhamnolipid Structure Dimeric Rhamnolipid Structure


Features of Rhamnolipid Products:


Compared to traditional chemically synthesized surfactants, Rhamnolipid has the following notable characteristics and advantages:
- Lower surface tension and interfacial tension: Rhamnolipid, with its larger and more complex chemical structure, has more active groups that can better adsorb to oil-water interfaces, effectively reducing interfacial tensions in water-air and oil-water interfaces.
- Heat resistance: Maintains surface activity even at 90°C.
- Salt tolerance: Rhamnolipid remains stable in a 10% salt solution, while chemically synthesized surfactants lose activity in 2-3% salt solutions.
- Biodegradability: Rhamnolipid is easily degradable in water or soil.
- Low or non-toxic: Environmentally friendly.


Advantages of Rhamnolipid Products:


Green: Rhamnolipid biosurfactant is biodegradable and non-toxic, making it a green surfactant.
Environmentally friendly: Rhamnolipid biosurfactant is safer and more environmentally friendly than traditional petroleum-based chemical surfactants.
Natural: Produced from natural and green raw materials, the production process is natural.
High purity: Our technology allows for the production of Rhamnolipid biosurfactant with 99.9% purity.
High performance: Microbial cultivation exceeds expectations, resulting in products with superior characteristics.


Research Applications


Rhamnolipid exhibits broad prospects in the scientific field. Through the selection and fermentation process optimization of high-yield strains of Rhamnolipid, its production can be enhanced. The mixed system of Rhamnolipid and whey protein demonstrates excellent emulsification performance, applicable for emulsification treatment under various environmental conditions. Additionally, the chelation of Rhamnolipid with rare earth elements improves the dechlorination efficiency of biofilters and promotes biofilm growth. Furthermore, Rhamnolipid-modified magnetic adsorbents exhibit efficient adsorption of dyes in water and can be recycled for reuse.


Selection and Fermentation Optimization of High-Yield Rhamnolipid Strains: High-yield strains of Rhamnolipid can be bred through methods such as chemical and physical mutagenesis.Research indicates that the yield of Rhamnolipid can reach 12.5g/L, demonstrating genetic stability.Limiting the concentration of certain metal ions in the culture medium can also increase Rhamnolipid yield.


Emulsification Performance of Whey Protein and Rhamnolipid: The mixed system of whey protein and Rhamnolipid shows superior emulsification activity and stability compared to individual components.Optimal mass ratios of 2:1 and 1:1 for whey protein and Rhamnolipid reduce the average particle size of emulsions, improving Zeta potential and interfacial properties for effective emulsification in different environments.


Chelation of Rhamnolipid with Rare Earth Elements for Enhanced Biofilter Dechlorination:Rhamnolipid can chelate with rare earth elements such as lanthanum and neodymium.Application in biofilters enhances the removal of dichlorobenzene and promotes biofilm growth.Chelating La(III) or Nd(III) with Rhamnolipid improves average dechlorination efficiency in biofilters by 24-29%, enhancing biofilm formation and dichlorobenzene biodegradation.


Rhamnolipid-Modified Magnetic Co/Al Layered Double Hydroxide for Dye Adsorption: Rhamnolipid-modified magnetic Co/Al layered double hydroxide (MR-LDH) efficiently adsorbs methylene blue and reactive orange 16 dyes.Maximum adsorption capacity reaches 54mg/g, and the adsorption effect remains stable with the potential for magnetic recovery, making it an excellent water treatment adsorbent.


Medical Applications


Rhamnolipid is a medication used for treating skin burns, certain skin diseases, and as a base drug for promoting wound healing, regulating immune function, enhancing drug absorption, as well as exhibiting antimicrobial, anti-inflammatory, and anticancer properties.


Promotion of Wound Healing and Anti-Inflammatory Treatment: Rhamnolipid accelerates the healing of full-thickness burns in rats, reduces collagen content, and induces tissue healing.It induces the production of anti-inflammatory cytokine IL-10, suppresses pro-inflammatory cytokine production, alleviates inflammation, and protects the intestinal barrier.Rhamnolipid inhibits the growth of pathogenic bacteria, displaying antimicrobial and anti-inflammatory characteristics.


Regulation of Immune Function: Rhamnolipid bidirectionally regulates immune function, activating immune cells and promoting the release of pro-inflammatory cytokines while also inhibiting immune cell activity to maintain immune function homeostasis.


Enhancement of Drug Permeation and Absorption: Rhamnolipid alters the permeability of small intestine epithelial cells and the activity of P-gp, increasing drug absorption. It enhances the permeation coefficients of bypass transport drugs and transcellular pathway drugs in the Caco-2 cell model, providing potential applications for oral absorption enhancers.

Inhibition of Tumor Cell Proliferation: Rhamnolipid demonstrates anti-tumor activity by inhibiting the proliferation and inducing apoptosis of tumor cells, especially against cell lines like HL-60.


Cosmetic Applications


Rhamnolipid serves as a natural surfactant and emulsifier in cosmetic products, offering widespread applications compared to traditional synthetic chemical surfactants. Its features include excellent cleaning efficacy, foaming performance, and biodegradability, making it an ideal or partial substitute for environmentally friendly and low-pollution detergents.

Firstly, Rhamnolipid's good cleaning, foaming, and biodegradable properties make it an ideal substitute for or partial replacement of sodium tripolyphosphate in laundry detergents, addressing issues of eutrophication. Bio-detergents containing Rhamnolipid exhibit similar cleaning effects to synthetic detergents, contributing to the greening and low-pollution of the detergent industry.


Secondly, a mixture of Rhamnolipid and saponin demonstrates excellent foaming and interfacial properties. Studies show that a microemulsion system composed of 84% Rhamnolipid and 16% saponin has maximum foaming capacity and stability at an HLB value of 10.8, outperforming commonly used surfactants such as SDS, Tween80, and Span80.


Additionally, the combination of single Rhamnolipid or double Rhamnolipid with the coordination use of lipase forms a new detergent composition with synergistic cleaning effects. This combination performs well in washing clothes, particularly in low-hardness water conditions. The synergy between single Rhamnolipid and lipase produces enhanced cleaning effects.

Rhamnolipid exhibits excellent cleaning performance and biodegradability, making it suitable for cleaning hard surfaces and fabrics at low concentrations. Compared to common surfactants like SDS and SDBS, Rhamnolipid has lower foaming properties and stronger biodegradability, making it an ideal detergent additive. Adding 10% Rhamnolipid effectively enhances the cleaning efficacy of commercial laundry detergent powders, improving cleaning power by over 10%.


Apart from detergent applications, Rhamnolipid finds extensive use in other cosmetic products. It can replace petroleum-based surfactants and emulsifiers such as SLS, SDS, or NADS. In creams, shampoos, soaps, it acts as a dispersant, wetting agent, moisturizer, and foam producer. Rhamnolipid maintains the stability of mixtures, controls product viscosity, and emulsifies oils in pores, reducing the occurrence of acne.


Compared to traditional synthetic chemical surfactants, Rhamnolipid has good cell permeability, is biologically sourced, and possesses non-toxic and degradable characteristics. These features make Rhamnolipid widely used in cosmetic products, including anti-dandruff products, creams, hair dyes, conditioners, toothpaste, acne pads, deodorants, nail polish, lip balm, antiperspirants, baby products, shaving cream, moisturizers, eye shadow, wet wipes, and perfumes.


Finally, regulatory agencies have criticized chemicals such as SLES and SLS for containing the carcinogen 1,4-dioxane and being irritating to the skin at higher concentrations. As a natural alternative, Rhamnolipid not only exhibits good surfactant and emulsification performance but is also safer. Therefore, the application prospects of Rhamnolipid are promising, aiming to achieve the goals of greening and reducing pollution in the cosmetic industry.


Applications in Food


Rhamnolipid is a component with high potential in the food industry. It is widely used as a leavening agent and flavoring agent in baked goods, sponge cakes, and noodles, improving and enhancing the quality and safety of the products.

Safety Assessment: According to documents from the United States Environmental Protection Agency (EPA), Rhamnolipid, as a biobased surfactant, is generally non-toxic but may have corrosive effects on the eyes and skin irritation. However, the EPA emphasizes that the ecological risks of Rhamnolipid are low, and its application in the food industry poses no adverse effects on food safety, making it a safe choice.


Promotion of Foaming in Fermentation Processes: Rhamnolipid can enhance foaming during the fermentation process, improving the quality of fermented products. Research indicates its potential application in producing low-calorie foods like fresh cream, mousse, and ice cream by controlling or promoting foaming during fermentation.

Anti-Biofilm Effect for Food Preservation: Studies reveal that Rhamnolipid inhibits the formation of Staphylococcus aureus biofilms, preventing the formation of biofilms on food surfaces. This extends the shelf life of food, acting as an effective preservative.


Utilization in Baking, Confectionery, and Meat Processing: Rhamnolipid demonstrates excellent emulsification performance and safety under extreme conditions of temperature, pH, and salinity. It finds applications in baking, confectionery, and meat processing, enhancing product quality and extending shelf life. Research shows that it improves the texture of pancakes and egg rolls, widely used in baking and confectionery to enhance product quality. In meat processing, Rhamnolipid has potential applications to improve product quality, increase yield, and enhance antioxidant performance.

Improvement of Sponge Cake and Rice Flour Quality: Studies show that Rhamnolipid significantly improves the quality of sponge cakes, increasing volume and fluffiness, and enhancing taste. The most significant effect is observed with an addition of 0.10%. Additionally, Rhamnolipid can be used to improve the quality of rice flour. Researchers have synthesized an Rhamnolipid composite material that significantly reduces cadmium content in rice flour, achieving a decontamination effect.


Applications in Agriculture


Rhamnolipid demonstrates extensive application prospects in agricultural production, playing a crucial role in promoting crop growth, improving fertilizer and pesticide utilization, controlling plant diseases, and soil improvement. Compared to chemical surfactants, it exhibits better wetting and surface activity, with significant inhibitory effects on fungi and waterborne pathogenic bacteria. Moreover, Rhamnolipid-modified biochar can improve saline-alkali soil, enhancing plant adaptability and growth performance.


Green Certifications for Rhamnolipid:


- Acute oral toxicity test LD50 > 5000 mg/kg.Bw, classified as practically non-toxic.
- In 2004, the U.S. EPA approved Rhamnolipid as a registered biopesticide (PC Code 110029).
- The New York State Department of Environmental Conservation, Bureau of Solid and Pesticide Management, registered Rhamnolipid as a new pesticide product (EPA Registration No. 72431-1).
- Rhamnolipid, as a new active ingredient, applied for federal registration as a biofungicide (Federal Register Notice of May 7, 2003 [68 FR 24456]).

- U.S. EPA's rulings on permissible levels and approvals for Rhamnolipid as a biobased surfactant in food and clothing-chemical applications (68 FR 25026 and 68 FR 16796).



Plant Foliar Application for Enhanced Nutrient Absorption and Growth: Spraying Rhamnolipid on plant leaves promotes nutrient absorption and plant growth. Studies indicate that, compared to common chemical surfactants, Rhamnolipid exhibits better wetting and surface activity at lower concentrations, facilitating the absorption of herbicides like glyphosate through leaves.


Soil Improvement Applications: Under alkaline conditions, Rhamnolipid can neutralize alkaline substances in the soil, preventing soil compaction issues. Rhamnolipid also has the ability to chelate metal ions, useful for removing heavy metal pollutants from the soil.


Anti-Fungal Properties Against Plant Pathogens: Rhamnolipid demonstrates in vitro inhibitory effects against plant pathogenic fungi. Products with a higher proportion of dimeric Rhamnolipid show stronger antifungal activity.

Various Disease Control Mechanisms: Rhamnolipid can control plant diseases through multiple mechanisms, including hydrolyzing fungal spores, altering fungal cell membrane permeability, and inducing plant defense responses. Research indicates its effectiveness against various pathogenic fungi, contributing to disease prevention.


Induction of Plant Resistance and Inhibition of Aquatic Pathogens: Rhamnolipid induces plant resistance, preventing disease occurrence, and inhibits parasitic water molds in aquatic organisms. Studies reveal that Rhamnolipid increases the cell membrane permeability of parasitic water molds, inhibiting hyphal growth and spore germination. Optical and electron microscopy observations demonstrate Rhamnolipid's disruptive effects on parasitic water mold hyphae.


Soil Salinity Improvement and Increased Nitrogen Utilization: Rhamnolipid-modified biochar can increase organic carbon and nitrogen content in soil under saline conditions, promoting the growth of Chinese cabbage. Simultaneously, it enhances antioxidant enzyme activity, reduces lipid peroxidation product formation, and enhances Chinese cabbage's adaptability to saline-alkali soil.


Ecological and Environmental Applications


Rhamnolipid can be utilized to address environmental issues such as polycyclic aromatic hydrocarbons (released in incidents like the Gulf of Mexico oil spill), difficult-to-biodegrade COD, and heavy metal pollution. It exhibits environmental remediation capabilities, effectively removing oil, metals, or other pollutants from soil, water bodies, coastlines, and the seabed.


Product Application Directions:


Metal Chelation: Rhamnolipid, with its metal chelation ability, can replace EDTA for removing heavy metal pollutants from soil, wastewater, and other liquids.

In Situ Treatment of Heavy Metal-Contaminated Soil Using Phytotechnology: Rhamnolipid can be employed for in situ treatment of heavy metal-contaminated soil by allowing plants to absorb heavy metal ions.

Effective Remediation of Soil or Water Contaminated with Pesticides or Highly Toxic Pesticides using Rhamnolipid and its Producing Bacterium Pseudomonas aeruginosa:

Rhamnolipid, along with its producing bacterium Pseudomonas aeruginosa, shows promising results in remediating soil or water contaminated with pesticides or highly toxic pesticides.



Biobased Surfactant for Non-Toxic and Amphiphilic Properties: Rhamnolipid, as a biobased surfactant, is non-toxic and amphiphilic. It can desorb polychlorinated biphenyls (PCBs), promoting their absorption and degradation by Pseudomonas aeruginosa.


Treatment of Petrochemical Wastewater: Rhamnolipid demonstrates significant effectiveness in treating petrochemical wastewater. It enhances the removal rates of polycyclic aromatic hydrocarbons (PAHs) and COD, notably increasing the degradation rate of 5-ring and 6-ring PAHs. After adding Rhamnolipid, the removal rates for PAHs and COD increased from 72% and 90% to 80% and 99%, respectively.


Soil and Groundwater Remediation: Rhamnolipid promotes the bioremediation of diesel, increasing the removal rate of total petroleum hydrocarbons (TPH) by over 50%. It also alters the microbial community during the degradation of PAHs, restoring the effective porosity of wetland systems.


Water Treatment Technology: Rhamnolipid is applicable for washing petroleum-contaminated soil and treating Cd2+ wastewater, exhibiting high oil removal and heavy metal removal rates. It can remove 96.7% of Cd2+ from wastewater using foam separation technology, surpassing other chemical surfactants in heavy metal removal.

In conclusion, Rhamnolipid, as an environmentally friendly biobased surfactant, holds significant application value in petroleum pollution control, soil and water remediation, and heavy metal pollution management. Research progress indicates its positive impact on pollutant degradation and removal efficiency, contributing positively to environmental remediation.


Applications in the Petroleum Industry


Rhamnolipid's applications in the petroleum industry encompass improving oil recovery rates, reducing pipeline resistance and crude oil viscosity, optimizing oil displacement systems, washing tank bottom sludge, anti-waxing, and enhancing lubricant performance. Its natural biobased surfactant characteristics make it an environmentally friendly and sustainable choice, with significant implications for the efficiency and environmental impact of the petroleum industry.

Enhancing Oil Recovery: Rhamnolipid improves the interaction between water, oil, and rocks, thereby increasing the recovery rate of crude oil. It reduces the affinity between oil and rocks, diminishes flow resistance during oil displacement, and enhances oil mobility. Additionally, during water flooding, Rhamnolipid optimizes displacement phase diagrams, enhancing oil recovery. Experimental results show a significant increase in crude oil recovery rates with the addition of Rhamnolipid.


New Rhamnolipid Bio-EOR System: A new bio-enhanced oil recovery (Bio-EOR) system is established by combining Rhamnolipid obtained from fermentation with other biopolymers such as xanthan gum. Studies reveal that a composite system containing 5% Rhamnolipid achieves a recovery rate of 17.4%, demonstrating promising applications in microbial enhanced oil recovery.


Pipeline Drag Reducer and Viscosity Reducer for Crude Oil: Rhamnolipid can be dissolved in organic solvents and added to crude oil as a drag reducer and viscosity reducer. The addition of 100-1000 ppm of Rhamnolipid can reduce pipeline resistance by 20-50%, and adding 100-9000 ppm can decrease crude oil viscosity by over 10-90%.

Anti-Waxing Additive: In petroleum refining, Rhamnolipid serves as an anti-waxing additive, lowering the solidification point of certain petroleum fractions. This prevents the precipitation of solid waxes at low temperatures, improving the low-temperature fluidity and anti-waxing performance of petroleum in fuels and lubricants.


Rhamnolipid-MoS2 Nanosheets for Improved Low-Permeability Reservoirs: Rhamnolipid-MoS2 nanosheets are a novel environmentally friendly biopolymer nanomaterial that can enhance the recovery rate of low-permeability reservoirs under high-temperature and high-salinity conditions. Research indicates that a nanofluid with an ultra-low concentration of 0.005 wt% can achieve an additional 25.3% increase in oil recovery on natural cores. This is achieved through mechanisms such as crude oil emulsification, improved wettability, reduced interfacial tension, and structural separation pressure.

Washing of Tank Bottom Sludge: Fermentation-derived Rhamnolipid liquid enhances the recovery of crude oil from tank bottom sludge, effectively washing and recovering crude oil. Rhamnolipid liquid can achieve a surface tension of 0.037 N/m, demonstrating good surface activity to assist in the separation and recovery of crude oil.


Viscosity Index Improver: Rhamnolipid acts as a viscosity index improver, improving the viscosity index of liquid lubricants. It increases the viscosity index of thickened lubricating oils with minimal viscosity changes over a range of temperatures, expanding their temperature application range.


Rhamnolipid Product Specifications and Recommended Dosage:


Applicable Field
Product Name
Purity
Properties
Product Description
Specifications
Pharmaceutical
Seebio-RH99a
99%
Powder
Monorhamnolipid standard product
1mg, 5mg, 1g
Pharmaceutical
Seebio-RH99b
99%
Powder
Dirhamnolipid standard product
1mg, 5mg, 1g
Pharmaceutical
Seebio-RH98a
98%
Solid
Mainly dirhamnolipid Rha-Rha-C10-C10
500g, 1kg, 10kg
Pharmaceutical
Seebio-RH98b
Solid
Mainly monorhamnolipid Rha-C10-C10
500g, 1kg, 10kg
Pharmaceutical, Cosmetics
Seebio-RH95a
95%
Solid
Mainly dirhamnolipid (water soluble)
500g, 1kg, 10kg
Pharmaceutical, Cosmetics
Seebio-RH95b
liquid
95% rhamnolipid, 5% concentration liquid
500g, 1kg, 10kg
Pharmaceutical, Cosmetics
Seebio-RH95c
Solid
Mainly monorhamnolipid (strong surface activity)
500g, 1kg, 10kg
Pharmaceutical, Cosmetics
Seebio-RH95d
liquid
95% rhamnolipid, 5% concentration liquid
500g, 1kg, 10kg
Cosmetics, Daily Chemicals, Cleaning
Seebio-RH90a
90%
Paste
90% purity rhamnolipid grease
500g, 1kg, 10kg
Cosmetics, Daily Chemicals, Cleaning
Seebio-RH90b
Solid
85-90% purity rhamnolipid
500g, 1kg, 10kg
Environmental Protection, Agriculture, Petroleum
Seebio-RH70a
25%
Yellow or brown viscous liquid
25% concentration rhamnolipid
1kg, 10kg, 50kg/barrel
Environmental Protection, Agriculture, Petroleum
Seebio-RH70b
Liquid
10% concentration rhamnolipid
1kg, 10kg, 50kg/barrel
Environmental Protection, Agriculture, Petroleum
Seebio-RH70c
Liquid
5% concentration rhamnolipid
1kg, 10kg, 50kg/barrel
Recommended Dosages

Industry
Recommended Product
Recommended Concentration
Cosmetics/Pharmaceutical
Seebio-RH98 series
0.0001%~0.01%
Daily Chemicals
Seebio-RH90 series
0.001%~5%
Petrochemical
Seebio-RH70 series
0.001%~5%
Environmental Protection/Agriculture
Seebio-RH70 series
0.001%~5%

The choice of organic solvent for dissolving rhamnolipid is determined by the specific physical and chemical properties of the rhamnolipid, with commonly employed solvents including alcohols (e.g., methanol, ethanol), halogenated hydrocarbons (e.g., chloroform), and esters (e.g., ethyl acetate).

The protocol for utilizing organic solvents to dissolve rhamnolipids generally involves the following steps:

1. Prepare the necessary organic solvents, including rhamnolipid, methanol, ethanol, chloroform or ether, and water.
2. Weigh an appropriate amount of rhamnolipid, typically using pure rhamnolipid or commercially available products.
3. Combine the rhamnolipid with a suitable quantity of organic solvents such as methanol, ethanol, chloroform, or ether, and stir until fully dissolved.
4. Gradually add the dissolved rhamnolipid in the aforementioned organic solvent to water while stirring evenly.
5. Adjust the solution's concentration as necessary; generally, a solution with a mass concentration exceeding 0.1% can be prepared.
Store the prepared solution in a sealed container and keep it in a cool, dry place.