About Seebio
Pioneer of Core Raw Materials for Functional Food Ingredients and Healthcare Supplements in China.
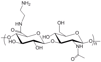
1. Introduction of Hyaluronic acid
Hyaluronic acid is a kind of macromolecular mucopolysaccharide with d-n-acetylglucosamine and d-glucuronic acid as structural units. It is often called Sodium Hyaluronate or HA. Hyaluronic acid (HA) is widely distributed in the connective tissue of human body. Hyaluronic acid in the skin plays an important role in the metabolism of the epidermis. The destruction of hyaluronic acid in human body or maladjustment, all can cause disease.

To maintain stability, hyaluronic acid is usually found in sodium salt form.Sodium hyaluronate is widely used in cosmetics as an ideal natural moisturizing factor to make products suitable for different skin types, climates and environments.
Sodium hyaluronate is commonly used in cosmetics. It can improve water solubility, facilitate production and use, and play the same role as hyaluronic acid in organisms.
2、Hyaluronic acid Function
1).Hyaluronic acid is a substance that is naturally present in the human body. It is found
in the highest concentrations in fluids in the eyes and joints.
2). Hyaluronic acid powder that is used as medicine is extracted from rooster combs or
made by bacteria in the laboraty.
3). Hyaluronic acid powder is also used as a lip filler in plastic surgery.It is also using to
prevent the effects of aging.
4). Hyaluronic Acid powder (HA, Hyaluronic, Cyclic Acid) is a critical component of the
skin that helps to retain moisture, keeping the skin firm, and preventing wrinkles by adding volume to the skin.

2、Application
1) Cosmetic Material
Hyaluronic acid is a humectant, which is a category of skin care ingredients that are hygroscopic, meaning they draw moisture from their surroundings. Hyaluronic acid’s moisture-binding characteristic is exceptionally important when it comes to skin aging. It is favored by cosmetic formulators and has a wide range of applications in the cosmetics field.
2) Food Grade
Hyaluronic acid has been widely used in health food in developed countries such as Europe and America. Oral food-grade sodium hyaluronate can supplement the hyaluronic acid assay in the human body, which makes the skin moist, smooth, soft and elastic through digestion and absorption; delay aging and prevent the occurrence of arthritis, brain atrophy and other diseases.
3). Medical applications
Hyaluronic Acid could be used in eye surgery, such as corneal transplantation, cataract surgery, glaucoma surgery, and surgery to repair retinal detachment.
Hyaluronic Acid can also be used to treat osteoarthritis of the knee. They are administered as a course of injections into the knee joint, which are believed to supplement the viscosity of the joint fluid, thereby lubricating the joint, cushioning the joint, and producing an analgesic effect.
2、product information
Product Name:Hyaluronic Acid powder
Synonyms Name: Sodium Hyaluronate
Brand Name: Seebio
CAS No.: 9067-32-7/9004-61-9
Molecular Formula: (C14H21NO11)n
Appearance: White crystalline powder or transparent liquid